반응형
📌 행렬(Matrix)이란?
**행렬(Matrix)**은 숫자나 기호를 직사각형 형태로 배열한 2차원 데이터 구조입니다.
일반적으로 수학, 컴퓨터 그래픽, 데이터 분석, 머신러닝, 통계 등에서 널리 사용됩니다.
1. 행렬의 기본 개념
- 행(Row): 가로 방향 (→)
- 열(Column): 세로 방향 (↓)
- 크기(Size, Shape): m × n (행 m, 열 n)
🔹 예제 1: 2×3 행렬 (2행 3열)

- 2개의 행
- 3개의 열
- 행렬 크기: 2×3 (2행 3열)
2. 행렬의 표현 (Python & NumPy)
import numpy as np
# 2×3 행렬 생성
A = np.array([[1, 2, 3],
[4, 5, 6]])
print(A)
print("행렬 크기:", A.shape) # (2, 3)
✅ 출력
[[1 2 3]
[4 5 6]]
행렬 크기: (2, 3)
3. 행렬의 종류
✅ 1) 정방행렬 (Square Matrix)
- 행과 열의 개수가 같은 행렬 (예: 3×3)

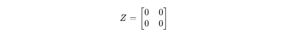
✅ 2) 영행렬 (Zero Matrix)
- 모든 요소가 0인 행렬

Z = np.zeros((2, 2))
print(Z)
✅ 3) 단위행렬 (Identity Matrix)
- 대각선 요소가 1이고, 나머지는 0인 정방행렬

I = np.eye(3)
print(I)
4. 행렬 연산
✅ 1) 행렬 덧셈 & 뺄셈

A = np.array([[1, 2], [3, 4]])
B = np.array([[5, 6], [7, 8]])
C = A + B # 행렬 덧셈
print(C)
✅ 2) 행렬 곱셈 (Matrix Multiplication)

A = np.array([[1, 2], [3, 4]])
B = np.array([[5, 6], [7, 8]])
C = np.dot(A, B) # 행렬 곱
print(C)
✅ 행렬 곱셈 조건:
- 첫 번째 행렬의 열 개수 = 두 번째 행렬의 행 개수여야 함.
5. 행렬의 활용
✅ 데이터 분석 & 머신러닝
- 데이터를 행렬 형태로 변환하여 학습 (ex: 이미지, 숫자 데이터)
✅ 컴퓨터 그래픽
- 3D 변환(회전, 이동, 크기 변경)에 사용
✅ 물리학 & 공학
- 전자기학, 양자역학, 구조공학 등에서 수식 계산
💡 결론
- 행렬은 숫자의 2차원 배열
- 행과 열로 구성되며 다양한 크기로 표현 가능
- 기본 연산(덧셈, 곱셈, 전치 등)이 가능
- 데이터 분석, 머신러닝, 그래픽스, 과학 계산에 필수적!
'십대를 위한 코딩 > 십대를 위한 파이썬' 카테고리의 다른 글
| 코드 분석: NaN 값 포함 데이터 개수 확인 (1) | 2025.02.27 |
|---|---|
| pandas의 Series (0) | 2025.02.25 |
| 벡터의 크기와 방향이란? (0) | 2025.02.23 |
| 파이썬 리스트 vs 넘파이 배열(Numpy ndarray) 차이 (1) | 2025.02.22 |
| 파이썬의 철학 (0) | 2025.02.22 |